Graph theory is a brand of mathematics concerned with how networks can be encoded and their properties measured. Please note that the purpose hovers over the topology representation, not the network’s underlying geography. Graph theory in transport geography is an adoption of mathematical techniques to measure and identify the various characteristics of transport network for finding solutions. This theory has been compiled properly by Jean-Paul Rodrigue and César Ducruet in their book “The Geography of Transport System” (Third Edition, 2013).
What is a Graph?
A graph is the pictorial representation of a transport network on a paper. A network is a complex combination of nodes/vertices and links/edges, symbolically represented on a graph. The purpose of a network in transportation involves improved accessibility in the best possible way between the source and the destination, be it in the movement of goods and/or people. The networks consist of a similar way and the travel behaviour which is determined by the network of pathways, road networks, railway lines, air routes, maritime, etc. The exceptions from transport such as telecommunication and pipelines also symbolize network.
The entire network is operational by two entities i.e., nodes and links.
- Node/Vertex (v)– A node is a zero-dimensional entity locating any object’s coordinates, i.e., latitude and longitude.
- Link/Edge (e)– A link is a one-dimensional entity connecting two nodes at the terminal/intersection.
Hence, the outcome of multiple nodes and links intertwined in a graph (G) creates the actual structure of a network i.e. G = (v, e)

Graph Theory Indices
The various indices of graph theory offer complex methods for studying the structural properties of a graph. Further, these indices use distance, surface, circuits, traffic, etc. for defining various properties of graph. The diversity of indices of the graph theory to transportation network are as follows.
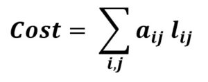
1. Cost (C)
The cost represents the total length of the network measured in real transport distances where aij is the presence (1) or absence (0) of a link between i and j, and lij is the length of the link. Greater efficiency in the network incurs costs closer to 1, whereas lesser efficiency incurs costs closer to 0.
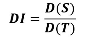
2. Detour index (DI)
It detects the efficiency of the network based on the friction of the distance such as the straight distance, D(S); transport distance or real distance D(T). If the straight distance and real distance are closer, the efficiency is greater and vice-versa. The efficiency of the network varies between zero to one where a detour index closer to one represents better efficiency and vice-versa.
3. Network density (ND)
The network density refers to the length of links per unit of land. It is the territorial occupation of a transport system in terms of km of links (L) per square kilometers of surface (S). Since, the greater density of roads offers greater choice for transportation, the higher network density represents the better transportation network.
4. Pi index (P)
Pi index is calculated as the ratio of the total length of the graph L(G) and the distance along its diameter D(d). The low level of Pi index is associated with a low level of network development (such as corridors) and vice-versa.
5. Eta index (h)
It is the average length per link. The longer link will have a higher average than the shorter links. Any new node added to the existing link will cause a decrease in average. It indicates the spread and the utility of the given network.
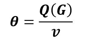
6. Theta index (u)
It is the average amount of traffic per intersection. The higher value denotes a higher function of the network. This index indicates the load on the nodes of the given network. 
7. Beta index (b)
It measures the level of connectivity in a graph. Beta index is the ratio between the number of links (e) and the number of nodes (v). A complex network has a value of more than 1, a connected network has 1, and less than 1 are simple networks. It is a measure of network complexity on how the networks are well connected.

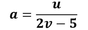
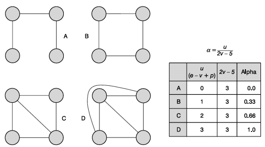
8. Alpha index (a)
It measures the degree of connectivity by calculating the number of circuits (u) in comparison with the maximum number of circuits. It is another index used to measure the connectivity of completed circuits.

9. Gamma index (g)
It is another measure of connectivity wherein it considers the relationship between the number of observed links and the number of possible links. This is representative of the connected networks in the context of possible links of a given network.

Conclusion
A transportation network fosters the flow of people, freight or information through the nodes and links. Graph theory hence offers the possibility of representing such movements to enable a strengthened connectivity. Unlike Vance’s Model or Taafe, Morril and Gould’s Model, which is mostly a historical account of transport development, various indices of graph theory i.e. Alpha, Beta, and Gamma indices etc. offer details regarding the structural distinctiveness. However, other indices of graph theory explain complex measures linked to the internal complexity of the graph. Graph theory in transportation networks is helpful in modelling roads, railways, flights, and shipping networks thereby strengthening the network and direction of connectivity. Further it enhances the route planning, traffic optimization, and optimal use of resources considering the underlying the geographical conditions between the locations.
Dr. Juhi Priyanka Horo has earned her Doctorate from the Centre for the Study of Regional Development (CSRD), School of Social Sciences (SSS), Jawaharlal Nehru University (JNU), New Delhi. She has been a part of the DAAD exchange program at the University of Köln (Germany) twice during her PhD journey. Additionally, she has given 3 years of service as an Assistant Professor in different colleges of the University of Delhi. Currently, she is working as a Co-Principal Investigator in a project associated with the University of Alberta, Canada.